我国地形西高东低、呈阶梯状分布,存在大量自然边坡滑坡灾害,水利水电工程的开发建设增加了大量人工边坡。尤其是在水资源丰富的西南地区强震频发,边坡稳定问题十分突出。边坡失稳机制复杂、致灾后果严重,还会诱发滑坡涌浪、堰塞湖等次生灾害,严重威胁了水工程的建设与安全运行。


图1 我国大陆地区滑坡事件分布 图2 我国地质灾害类型构成
面对现有的边坡静力稳定评价尚缺乏精准高效的力学模型、边坡动力失稳机理不明确、评价标准不统一、加固效应以及安全监测预警缺乏系统理论支撑的几大难题,李同春教授率团队开展了深入系统研究和大量工程实践,取得了多项创新成果。
一、提出了边坡静力稳定高精度数值分析方法
提出了边坡稳定安全系数弹塑性有限元迭代解法,及结合有限元强度折减法与非线性迭代解法的边坡稳定有限元混合解法,克服了边坡安全系数受人为因素影响大的缺陷。首创了基于分区有限元与块体界面元静力混合解法的强度折减法,大幅提高了局部位移不连续问题的计算精度和效率,实现了对边坡静力的稳定精准高效分析。

图3 边坡稳定安全系数弹塑性有限元迭代解法效果图

图4 边坡滑移模式搜索的有限元混合解法
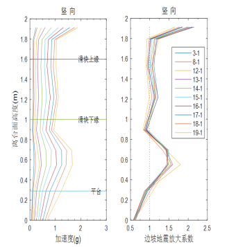
二、提出了基于动力降强计算理论的边坡抗震稳定与安全评价方法
首次提出了边坡动力有限元降强分析理论,构建了分区有限元与块体界面元动力力学模型,提出了以裂隙失效点对首次贯通为失稳判据的动力强度折减法,揭示了边坡地震动态放大系数的分布规律,攻克了边坡抗震稳定与安全评价关键技术难题。

图5 动力混合解法力学模型


(a)边坡模型 (b)结构面模型
图6 动力混合解法边坡失稳判据
三、建立了复杂边坡加固效应评价及全自动变形实时监测与预警技术体系
提出了复杂边坡加固效应评价方法,构建了基于突变理论的边坡变形监控模型,攻克了边坡失稳阈值判据确定随意性的缺陷。自主研发了高精度、全自动三维变形实时监测与预警系统,填补了复杂边坡的实时安全监测与预警的研究空白。

图7 监测系统布置
上述成果在我国大型水利水电工程边坡安全稳定性评价、加固效应评价及安全监测预警机制等方面,取得了理论与技术创新,已应用于洪家渡、百色、溪洛渡、白鹤滩、紫坪铺、索风营和龙江水电站等重大水利水电工程边坡稳定安全度评价,取得了显著的社会、经济、生态环境效益,并得到了国内外多位知名专家的高度评价。




图8 贵州乌江索风营电站复杂加固构件贡献度研究


图9 白鹤滩水电站静、动力稳定数值计算



图10 白鹤滩水电站振动台试验


图11龙江水电站枢纽工程成果应用
部分成果已被纳入国家及行业规范 3 项、水利部先进实用技术重点推广名录1项,授权发明专利 6 项,取得软件著作权 12 项,出版专著 6 部,发表高质量论文 148 篇,填补了多项国内外研究空白,成果达到国际先进水平,其中在边坡静、动力稳定高精度数值分析方面达到国际领先水平。

